좋은 문제 선정이유
- 문제에서 말한대로 알파벳을 어떤 숫자로 바꿔서 합을 구한다는 생각의 틀을 깨야 한다.
후기
- 그리디를 풀 때마다 두뇌가 바본가 생각이 든다. 하지만 계속 풀다보면 나도 다른 차원으로 생각하는 두뇌로 발전하겠지,, ! 제발 ~
문제 출처
https://www.acmicpc.net/problem/1339
1339번: 단어 수학
첫째 줄에 단어의 개수 N(1 ≤ N ≤ 10)이 주어진다. 둘째 줄부터 N개의 줄에 단어가 한 줄에 하나씩 주어진다. 단어는 알파벳 대문자로만 이루어져있다. 모든 단어에 포함되어 있는 알파벳은 최대
www.acmicpc.net
문제
민식이는 수학학원에서 단어 수학 문제를 푸는 숙제를 받았다.
단어 수학 문제는 N개의 단어로 이루어져 있으며, 각 단어는 알파벳 대문자로만 이루어져 있다. 이때, 각 알파벳 대문자를 0부터 9까지의 숫자 중 하나로 바꿔서 N개의 수를 합하는 문제이다. 같은 알파벳은 같은 숫자로 바꿔야 하며, 두 개 이상의 알파벳이 같은 숫자로 바뀌어지면 안 된다.
예를 들어, GCF + ACDEB를 계산한다고 할 때, A = 9, B = 4, C = 8, D = 6, E = 5, F = 3, G = 7로 결정한다면, 두 수의 합은 99437이 되어서 최대가 될 것이다.
N개의 단어가 주어졌을 때, 그 수의 합을 최대로 만드는 프로그램을 작성하시오.
입력
첫째 줄에 단어의 개수 N(1 ≤ N ≤ 10)이 주어진다. 둘째 줄부터 N개의 줄에 단어가 한 줄에 하나씩 주어진다. 단어는 알파벳 대문자로만 이루어져있다. 모든 단어에 포함되어 있는 알파벳은 최대 10개이고, 수의 최대 길이는 8이다. 서로 다른 문자는 서로 다른 숫자를 나타낸다.
출력
첫째 줄에 주어진 단어의 합의 최댓값을 출력한다.
예제 입력 1 복사
2
AAA
AAA
예제 출력 1 복사
1998
예제 입력 2 복사
2
GCF
ACDEB
예제 출력 2 복사
99437
예제 입력 3 복사
10
A
B
C
D
E
F
G
H
I
J
예제 출력 3 복사
45
예제 입력 4 복사
2
AB
BA
예제 출력 4 복사
187
문제 풀이 힌트
구성)
=> 한 문자의 각 알파벳의 자리수가 뭔지 확인한다
=> 알파벳마다 차지하고 있는 총 자리수 합을 객체로 정리한다.
=> 합이 큰 알파벳부터 배열 정렬을 한다.
=> 배열의 앞 부분부터 9,8,7,.... 곱해주면 최댓값이 나온다.
설명)
- 각 문자의 알파벳들이 몇자리 수인지를 센다

- 위 사항을 객체에 정리한다. 문자의 뒤부터 넣어줄 것이다. (반복문을 뒤에서부터 돌리면서 자리수에 점점 10을 곱할 것임)
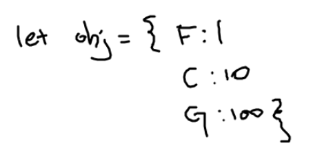
let size = 1;
F : size : 1
size * 10;
C : size :10
size * 10 ;
G: size : 100

그다음 문자 ACDEB 이걸 위에 했던 것처럼 반복하면 된다.
이미 알파벳이 올라가있는건 기존 숫자에 더해주면 되고,
알파벳이 없다면 새롭게 설정해주면 된다 ~
이건 코드 보면 이해할 것이다 !
그래서 obj가 이렇게 된다

이걸 Object.entries 를 이용해서 값이 큰거대로 배열 정렬은 해준다.

배열 앞 부분부터 차례로 9,8,7,6,5,...를 곱해주면 우리가 구해야 하는 최댓값이 나온다 !
정답 풀이 코드
let input = require('fs').readFileSync('/dev/stdin').toString().split('\n');
const N = Number(input.shift());
function solution(N, input){
let obj = {};
input.map(str => {
let size = 1;
for(let i= str.length-1; i>=0; i--){
let alphabet = str[i];
if(obj[alphabet]) obj[alphabet] += size;
else obj[alphabet] = size;
size *=10;
}
})
const sorted = Object.entries(obj).sort((a,b)=> b[1]- a[1]);
let sum = 0;
let number = 9;
for(let i=0; i<sorted.length; i++){
sum += sorted[i][1] * number--;
}
return sum;
}
const answer = solution(N, input);
console.log(answer)
의사 코드 추가
let input = require('fs').readFileSync('/dev/stdin').toString().split('\n');
const N = Number(input.shift());
function solution(N, input){
let obj = {};
input.map(str => {
let size = 1; //자리수
for(let i= str.length-1; i>=0; i--){//문자의 뒷부분부터
let alphabet = str[i];
if(obj[alphabet]) obj[alphabet] += size; //이미 객체에 존재하면
else obj[alphabet] = size; // 존재하지 않으면 새로 세팅
size *=10; //자리수는 점점 커지니까 ~
}
})
const sorted = Object.entries(obj).sort((a,b)=> b[1]- a[1]); //키가(여기선 알파벳이) 0번째 자리, 값이(우리가 구한 자리수 총 합) 1번째 자리를 차지하게 된다
let sum = 0;
let number = 9;
for(let i=0; i<sorted.length; i++){ //큰 값의 알파벳부터 9 할당 ~~
sum += sorted[i][1] * number--;
}
return sum;
}
const answer = solution(N, input);
console.log(answer)
'알고리즘 문제 풀기' 카테고리의 다른 글
| 백준 11725: 트리의 부모 찾기 - javascript(bfs) (1) | 2023.09.30 |
|---|---|
| 프로그래머스 입국심사 - javascript(이분탐색) (0) | 2023.09.29 |
| [좋은문제]백준 14503: 로봇 청소기 - javascript(구현) (1) | 2023.09.26 |
| 백준 1759: 암호 만들기 - javascript (완전탐색) (0) | 2023.09.25 |
| [까다로운 문제]백준 13164: 행복 유치원 - javascript(그리디) (0) | 2023.09.24 |